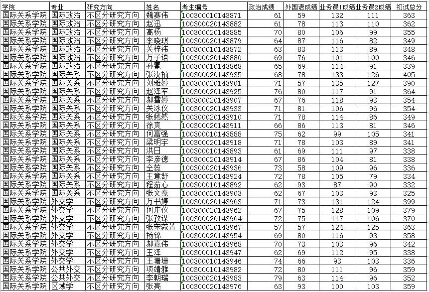
2020年硕士研究生入学考试复试名单

来源:体育365官网 时间:2020-05-10 点击数:



Copyright 亚洲beat·365(体育)-官方网站 版权所有. 地址:北京市海淀区西三环北路2号/19号    邮编:100089  Supported by BFSU ITC